您的位置:对照品 > 标准物质 > 一级标准物质 > |
|
|
|
| 产品基本信息 |
|
| 产品编号:D466077 |
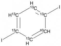
| 产品名称:1,4-Diiodobenzene-13C6 |
| 产品CAS:1246817-17-3 |
| 规格含量:50mg |
| 产品价格:面议 |
| 联系我们: |
|
|
|
|
|
| 产品详细介绍 |
| 标准品编号: |
D466077 |
| 名称: |
1,4-Diiodobenzene-13C6 |
| 别名: |
1,4-Iodobenzene-13C6; 4-Iodophenyl Iodide-13C6; NSC 6297-13C6; p-Diiodobenzene13C6; |
| CAS号: |
1246817-17-3 |
| 参考CAS号: |
类似: 624-38-4 |
| 分子式: |
¹³C₆H₄I₂ |
| 外观: |
Off 白色固体 |
| 分子量: |
335.86 |
| 溶解性: |
Acetone, Chloroform, Dichloromethane, Methanol |
| 种类: |
Building Blocks; Isotopic Labeled Analogues; |
| 应用: |
Intermediate in the production of labelled Dutasteride |
| 参考文献 |
|
|
|
|
|
|