欢迎光临:莱耀标准品网!
 您的位置:对照品 > 标准物质 > 一级标准物质 >
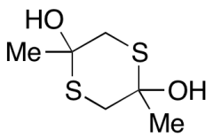
2,5-Dihydroxy-2,5-dimethyl-1,4-dithiane
产品基本信息
产品编号:D452200
产品名称:2,5-Dihydroxy-2,5-dimethyl-1,4-dithiane
产品CAS:55704-78-4
规格含量:5g
产品价格:面议
联系我们:
产品详细介绍
标准品编号: D452200
名称: 2,5-Dihydroxy-2,5-dimethyl-1,4-dithiane
别名: 2,5-Dimethyl-2,5-dihydroxy-1,4-dithiane; 2,5-Dimethyl-1,4-dithiane-2,5-diol; 2,5-Dimethyl-2,5-dihydroxy-p-dithiane; Cyclodithalfarol-705;
CAS号: 55704-78-4
分子式: C₆H₁₂O₂S₂
分子量: 180.29
种类: Building Blocks; Miscellaneous;
应用: 2,5-Dihydroxy-2,5-dimethyl-1,4-dithiane is a useful reactant for the preparation of tetrahydrothiopyranols via a [3+3]-annulation of cyclopropane diesters.
参考文献


2011-2018 信阳莱耀生物科技有限公司 @ 信阳埃尔文生物科技有限公司版权所有

中检所标准品,对照品,标准气体
Keywords: 中检所标准品 对照品 标准气体