欢迎光临:莱耀标准品网!
 您的位置:对照品 > 标准物质 > 一级标准物质 >
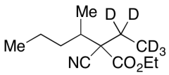
2-Cyano-2-ethyl-3-methylhexanoic Acid Ethyl Ester
产品基本信息
产品编号:C980030
产品名称:2-Cyano-2-ethyl-3-methylhexanoic Acid Ethyl Ester
产品CAS:100453-11-0
规格含量:250mg
产品价格:面议
联系我们:
产品详细介绍
标准品编号: C980030
名称: 2-Cyano-2-ethyl-3-methylhexanoic Acid Ethyl Ester
CAS号: 100453-11-0
分子式: C₁₂H₂₁NO₂
分子量: 211.3
溶解度: Chloroform, DCM
类别: Building Blocks; Miscellaneous;
应用: 2-Cyano-2-ethyl-3-methylhexanoic Acid Ethyl Ester is an intermediate in the synthesis of Pentobarbital (P276000) derivatives.
参考文献


2011-2018 信阳莱耀生物科技有限公司 @ 信阳埃尔文生物科技有限公司版权所有

中检所标准品,对照品,标准气体
Keywords: 中检所标准品 对照品 标准气体